An Evaluation Method for MT Systems and Its Application to ALT-J/E

Satoru Ikehara*1    Masahiro Miyazaki*2    Satoshi Shirai*1    Akio Yokoo*1

*1 NTT Communications and Information Processing Laboratories, Yokosuka 238-03, Japan.
*2 Niigata University, Niigata 950-21, Japan.

Received November 27, 1991


Keywords:

machine translation, evaluation of translation quality, translation technology, Japanese to English translation.


Summary

An evaluation method for a Japanese to English machine translation system which estimates translation quality based on translation technologies and source text characteristics is proposed. This method is applied to the translation of newspaper articles by the ALT-J/E system and further problems that need to be surmounted.

Assuming 70% acceptability to be a practical level of quality, it is shown that morphological and dependency analysis technologies would require accuracy rate per word and per "bunsetsu" (which are Japanese phrase, in most case, consisting of a noun and "joshi" or post-positional word) as high as 99.8% and 99.4%, respectively. Current technology has reached this level. But the precision of translation for individual expressions is lower than expected values and the acceptability rate for the entire sentence drops to between 40% and 50%. To achieve an acceptability rate of 70%, it is necessary to achieve an average 7% improvement in 9 types of expressions and thus achieve a successful translation ratio of 96%.

To upgrade the translation rate of these expressions, it will be necessary to establish techniques for meaning analysis of post-positional words, translation of expressions that combine noun clauses and compounded words, handling connections and embedded clauses, and verification of ellipses and paratactical constructions.



[ , pp.315-320 (1992.11). ]
[ In Proceedings of ICTP '83, pp.315-320 (November, 1992). ]



INDEX

     1. Introduction
2. Statistical Characteristics Analysis of Newspaper Articles
  2.1 Characteristics of Newspaper Article Forms
  2.2 Characteristics of Expression in Newspaper Articles
3. Concepts of Evaluation Model
  3.1 Basic Idea of Quality Evaluation Model
  3.2 Target Quality for a Practical Machine Translation System
4. The Machine Translation Quality Evaluation Model and Its Application to ALT-J/E
  4.1 Analytical Phase Evaluation Model
  4.2 Accuracy Rate of the Conversion/ Generation Phase
  4.3 Summary of Quality Model Evaluation Results
5. Summary
  References



1. Introduction

In the field of Japanese-to-English machine translation, numerous experimental systems(1)(2) and commercial systems(3)-(5) have been developed. Without exception, these systems require pre-editing and post-editing to be of practical use. Many technological problems have to be solved in order to develop a Japanese-English translation system capable of translating source text without pre-editing for monolingual users(6). Characteristics of expressions in an actual document, as well as the quality of each function or component of translation system have a great influence on the translation results. The evaluation method are required to clarify these relation.

There have been some proposals for evaluating the quality of translation. The ALPAC Report(7) proposed a 9-level standard. Nagao(8) proposed two 5-level standards, one each for understandability and faithfulness, and applied it to the Mu-Project. However these methods are concerned with only the results of translation. Translation results are dependent on the technologies involved and source text characteristics. This relation is so complicated that there has been no evaluation method for it.

Taking notice of the construction of the translation system, this paper proposes an evaluation method which estimates translation quality based on translation technologies and source text characteristics. This method is applied to translation of newspaper articles by the ALT-J/E (Automatic Language Translator: Japanese to English) system(9)(10). And it is also proposed that using this evaluation model, setting the translation acceptability rate at 70% as the target for translation quality will clarify the problem areas in the existing technology and identify the tasks to be faced.

The translation process is divided into the sentence analysis phase and the conversion/generation phase. The capability of the former phase is represented by the capability of the morphological and dependency analysis phases, and that of the latter phase is derived from the capability of English expression generation for several characteristic expressions in language. An evaluation method is proposed from this point of view.

Specially, 1 000 sentences of lead texts (which are typical introductory sentences summarizing a newspaper article immediately following the headlines) were taken from the Nikkei Sangyo Newspaper. Sentence structures and characteristic expressions that would pose problems in machine translation were studied. Regarding the characteristics of structuring, formal characteristics of typical newspaper articles, such as length of articles, number of "bunsetsu" and other such statistical features are studied. As characteristics of expression, we consider 9 types of expression may pose problems in the formulation of algorithms and investigate the frequency of their appearance in newspaper articles.

These characteristics of newspaper articles and the data quantity for each individual technology are used in the evaluation method. Estimates of final translation quality are made and compared with the actual measured values to confirm the accuracy of this evaluation method and examine technical problems which remain for solution in the future.




2. Statistical Characteristics Analysis of Newspaper Articles

From the viewpoint of existing machine translation technology, actual text (this excludes fiction, essays, poetry and such artistic literature) for which

demand is strong is to be desired for translation. Real text could include classroom textbooks, dissertations, manuals, and newspaper articles. Of these texts, newspaper articles are read by many persons and are a popular form of text with a premium on speed of reporting. Hopes and expectations to be placed on translation without pre-editing*1 are great indeed, and this type of text has therefore been selected as the object for evaluation.

Specifically, 1 000 sentences from lead texts of the "Information, Software and AI" column and the "Communication" column of the Nikkei Sangyo Newspaper, February 1 to 28, 1988, have been selected as object texts. The "lead text" as mentioned previously, is the summary which follows the head line of an article. When there is no such summary, the first paragraph of the main text of the article is regarded as the lead text. Lead texts generally consist of anywhere from 3 to 5 sentences. Hereafter, the sample documents will be referred to as newspaper article texts.




2.1 Characteristics of Newspaper Article Forms

A study of the characteristics of the forms of newspaper articles in terms of average number of characters and average number of words per sentence is summarized in Table 1.

Table 1 Formal characteristics of newspaper article writing.
[Ch=charactcrs, pp=predicate portion, b=bunsetsu, w=word]
ParametersentencePred.portionBunsetsuWord
Characters43.8 ch/s19.0 ch/pp5.25 ch/b20.7 ch/wd
Words21.2 wd/s9.22 wd/pp2.54 wd/b-----
Bunsetsu8.35 b/s3.63 b/pp----------
Pred.portion2.30 pp/s-------------------




2.2 Characteristics of Expression in Newspaper Articles

When we consider the relation between characteristics of expression and translation quality, the kinds of expressions which lead translation failure are essential. Here we have taken up 9 types of expressions by the examination of translation which would cause problems for our machine translation system. And expressions relevant to these 9 types are picked up and tabulated the frequency with which they appear in newspaper article sentences. The results shown in Table 2 indicate the following.

(1) There are many expressions using sentences connected within sentences, quotations, and reporting types of expressions. With newspapers primarily playing the role of conveying reports, and following and reporting on events, there frequently arise expressions where the subject and the object are omitted and context analysis be comes necessary (Table 2 No. 2, 3).

(2) There are many predicates accompanied by modality and compound predicates, which result from combination of subjects or objects directly with verbs to form new compounds. As in the case of compounds of successive nouns, this also is a method of compressing an expression (Table 2 No. 5, 6).

(3) There is frequent usage of functional chain words consisting of compound words with a semantic or syntactic role. However, their numbers are limited when viewed from the types of compound words (Table 2 No. 8).

(4) Compounds consisting of successive nouns are numerous, appearing an average of 3 times per sentence. These are compounded as necessary from proper nouns, numerals and ordinary nouns. It would be difficult to anticipate such compounds and have them compiled and registered into a dictionary beforehand (Table 2 No. 9).

Table 2 Types of newspaper article expressions and prequency of appearance (from 1 000 newspaper sentences).
Cases:Times appeared Types:Number of Expression type
NoType of ExpressionDetails and examples
1 Special Construction

511Cases
55Types
"" construction (6 types, 111 cases)
e.g. (the cost ofisyen)
adjective""construction(7 types, 60 cases)
e.g. (the aim is to)
listing type construct ion (5 types, 44 cases)
e.g. (not only tobut also to)
2 Connection within Sentence
Expression

634Cases
29Types
Typical form(8 types,415 cases)
e.g. (to developand sell)
Connecting joshi type connection(8 types,132 cases)
e.g. (will announce, but sales will be)
Word repetition type connection (13 types,87 cases)
e.g. (willthrough affiliation with)
3 Quotation/Reporting Expression

336Cases
38Types
General noun type(7 types, 49 cases)
e.g. (is planning to)
Formal noun type(14 types,117 cases)
e.g. (typically does)
Connecting joshi type(8 types, 62 cases)
e.g. (is viewed as)
Other(9 types,108 cases)
e.g. (after having stated that)
4 Predicate with a Declinable
Type Noun in a Case

285Caces,
5Types
Objective case type(2 types, 258 cases)
e.g. (conclude a contract)
Nominative case type(3 types,27 cases)
e.g. (is interchangeable)
5 Compound Object Expression

405Cases
39Types
Auxiliary yogen type(60 types,111 cases)
e.g. (embark on, lean forward)
Compound word type yogen(13 types,39 cases)
e.g. (to participate in capitalization, to invest jointly)
Auxiliary yogen connecting type yogen(25 types, 255cases)
e.g. (is active)
6 Predicate as a Sentence Ending
(not including general verbs and
"sa" declining verbs)

413Cases
114Types
"" declining verbs and verbs with a noun root plus ""
e.g. (mountain climbing + undertake)
Model type ending(29 types,241 cases)
e.g. (is participating in)
Taigen ending(78 types,164 cases)
e.g. (is overyen)
""sentence ending(7 types, 8 cases)
e.g. (forto happen is inevitable)
7 Declinabie Idioms

78Cases
11Types
""case type(4 types, 44 cases)
e.g. (make a serious effort to)
""case type(2 types, 14 cases)
e.g. (gather speed)
""case type(3 types, 17 cases)
e.g. (undertake development)
8 Functional Connection
Expressions

691Cases
4Types
Connecting case type compound word(257 cases)
e.g. (centered around )
Adverbial type compound(236 cases)
e.g. (one after another)
Participial case type compound(89 cases)
e.g. (the largestin)
Participial adjuective type compound (109 cases)
e.g. (conventional, former)
9 Successive Noun Compound
Expression

3,117Cases
7Types
Ordinary noun type
(1870 cases)














e.g.: Service agreement provisions)
Proper noun type
(390 cases)
e.g. PC9800:a model corresponding to the PC9800 Series
:University of Illinois,U.S.
Expression of time
(283 cases)
e.g. :since 15 years ago
:since the latter half of last year
Quantity expression
(320 cases)
e.g. 22.8%:an increase of 22.8% over the same period of the prevous year
Cognate case expression
(3 types, 254 cases)
e.g.: Midori Electronics, a computer apparatus maker




3. Concepts of Evaluation Model




3.1 Basic Idea of Quality Evaluation Model

(1) Structure of MT system    ALT-J/E system consists of two major processes, source language analysis and target language generation as shown in Fig. 1. These will be referred to as the analytical phase and the conversion/generation phase. The conventional translation system relying on the transfer method usually divides the processing phase into three phases such as the analytical, conversion and generation phases. ALT-J/E is already aware of conversion to the target language at the analytic stage, so that the conventional stage of conversion become a process that spans both the analytic and generation phase. Conversion is regarded here as a portion of the generation phase and divides the entire translation process into two phases. However, the conventional three phases can also be considered as same these two phase construction, if the conversion process can be evaluated for each expression.

Fig. 1 Translation phase constraction of ALT-J/E.

The analytical phase consists of the morphological and dependency analyses*2.

The conversion/generation phase consists of numerous phases. But, if a source expression is correctly analyzed in the analytical phase and it the generation mechanism for each expression works correctly, translation results should become almost understandable*3, regardless of whether it is good English*4 or not.

(2) Remarks for evaluation model    The essential meaning of the above thoughts on phase separation is as follows. There are normally numerous types of expressions mixed in a single actual sentence. These expressions have mutual reactions that would be brought about when they are combined together. Then the translation quality of the entire sentence cannot be broken down into evaluations of the expressions contained. This method takes these mutual reactions into consideration and separates the evaluation of the analytical phase from the evaluation of the conversion/generation phase. Various types of expression are mixed in the analytical phase and their reactions are taken into consideration. After this has been accurately analyzed, evaluation of each individual expression can be conducted.




3.2 Target Quality for a Practical Machine Translation System

(1) Target quality for translation    The objective of machine translation is to have a finished product in which the contents of an entire article can easily be understood almost without error. Normally, newspaper articles consist of a number of sentences and an understanding of the outline of an article does not require a completely accurate translation of all of the sentences.

As the passing line for a practical system, therefore, we shall assume as a quality target to have 70%*5 of translation ratio (the ratio of understandable translation) for each sentence contained in an article.

(2) Technical quality target    In machine translation, a process error in any one of phases will result in an inaccurate product. In considering the probability of accuracy for each phase, the analytical phase consists of uniform processes which are commonly applied to all kinds of expressions, whereas the conversion/generation phase consists of a variety of processes depending on types of expressions.

It is relatively difficult to improve the accuracy of the latter phase. With these factors in mind, the target yield rate for each phase needed to arrive at a translation with an final translation ratio of 70% was calculated (Fig. 2). Converting these yield rates, target accuracy rate for each phase are as follows.

Morphological Analysis  0.95/1.00=95.0%
Dependency Analysis  0.90/0.95=94.7%
Conversion/Generation  0.70/0.90=77.8%

Fig. 2 Technical level target for a practical system.




4. The Machine Translation Quality Evaluation Model and Its Application to ALT-J/E




4.1 Analytical Phase Evaluation Model

(1) Accuracy of morphological analysis

Assume the average number of words in a sentence to be nm. Assume also that the probability of the words of interest being accurately isolated from the rest of the sentence and of having the parts of speech and other syntactic attributes accurately appraised (i.e. word accuracy) to be pm. When all of the words in a sentence have been accurately analyzed, morphological analysis of the sentence can be said to be accurate.

Therefore the probability of accuracy of morphological analysis Pm can be expressed by the following equation.

then,   (1)

Assuming from the target accuracy ratio for practical use of the product that Pm=0.95 (See Fig. 2), and from Table 1 that nm=21.2, the accuracy per word for purposes of morphological analysis needs to be over 99.8%

(2) Accuracy rate of dependency analysis

In dependency analysis, dependencies are analyzed in relationship to all "bunsetsu" (phrase). Dependencies between "Bunsetsu" are determined as pairs of dependent phrase and supporting phrase. All bunsetsu become a dependent phrase and all bunsetsu excepting the first one but including a period (terminal mark of a sentence) becomes a supporting phrase. Thus, we can regard the number of pairs to be the same as the number of bunsetsu.

If we assume the probability of each dependent and supporting pair determined accurately to be pd, dependency analysis is accurate when all the dependent and support phrases have been accurately determined. Therefore, the probability of accurate dependent and support pairing is

then,   (2)

From Fig. 2, the value Pd=0.947 and from Table 1 the value nd=8.35 are substituted. To achieve the practical target, the accuracy rate of the dependent and support pair needs to be over 99.4%.

(3) Observation    The relation between Equation (1) and (2) in the case of newspaper articles is illustrated in Fig. 3. The technical difficulty in improving both word accuracy in morphological analysis and pair accuracy in dependency analysis increase sharply in both cases above approximately the 98% level. However, it is confirmed from the experiments that the current level of technology has achieved this objective in ALT-J/E.

Fig. 3 Target performance for the analytical phase.




4.2 Accuracy Rate of the Conversion/ Generation Phase

(1) Conversion/generation accuracy rate

As described before, the causes of translation failures are classified in Table 2. We shall evaluate the conversion/generation rate by seeing whether the expressions taken up in this table can be accurately translated or not.

We shall assume the number of types of expression to be i, and that i=1 to 9, i.e., any one of the 9 types of expression as listed in Table 2.

EX) In the case of "connection within compound sentence expression", i = 2.

Assume the maximum number of times each expression can appear in one sentence of the original to be Ni, and that the average number of times it actually appears to be n.

EX) For i=2, Ni = 3 (from the observation of 1 000 sample sentences) and ni=634 cases / 1 000 sentences = 0.634 (Table 2).

The probability of the type of expression will be translated accurately when it appears is assumed to be pi.

EX) For i = 2, p = 0.8 (from individual experiments described later)

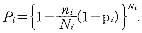
With a given sentence, let us consider the probability Pi of type i in this sentence being translated without error. The expression of type i has the chance of appearing Ni times and actually appears n, times. Therefore, for any one chance, it appears with the probability of ni/Ni. When it actually appears, the probability of error in translation is 1 -pi. Thus, the probability of not making an error in translation for every appearance is

When there is no error in all Ni chances, this sentence can be said to have cleared the type i expression. The probability of clearing type i expression is

(3)

EX) For i=2,

Thus, accuracy of processing PG of the conversion/ generation phase is

(4)

(2) Application of current level technology

Based on experience with the Japanese-English translation experiment system ALT-J/E, the feasibility of the above model is verified. The ni and Ni values are given in Table 3. Current rate of accuracies pi obtained from individual experiments*6 on various types of expression are as also listed in Table 3. Substituting these values into Eq. (4), PG is obtained as

PG = 0.48.(5)

Table 3 Listing of specifier values.
NOType of expression niNipi
1Special construction 0.51120.8
2 Connection within compound sentence expression 0.63430.8
3Quotation-reporting expression 0.33620.9
4Predicate with a declinable noun in a case 0.28530.95
5Compound object expression 0.40530.95
6Special sentence ending object 0.41310.9
7Declinable idiom expression 0.07810.95
8Functional compound word expression 0.69160.9
9 Compound word combining successive noun expression 3.1178.350.9

Translation experiments*7 dealing with newspaper articles reveal current translation acceptability rates of about of 40% to 50%. Current analytical phase accuracy rate is about 90%. Thus, the translation/generation phase accuracy rate is estimated to be about 45% to 55%. This coincides with results of Eq. (5), which was obtained as accuracy rate for the individual expressions above.

(3) Relationship between translation rates of expression groups and the total accuracy rate of conversion/generation phase    For case study, assuming the following relationship to hold true for translation accuracy p, for all 9 types of expression

p1 = p2 = p9 = p(6)

the relationship between p and Pc would be as shown in Fig. 4.

Fig. 4 Relationship between translation accuracy rate of individual expression and accuracy rate of conversion/generation.

Conversion/generation rate at the practical level according to Sec. 3.2 shows PG > 0.778; therefore the translation accuracy rate for all types of expressions necessary according to Fig. 4 shows p >= 0.96. In contrast, current pz average accuracy rate p according to the same diagram shows p = 0.89. A difference of about 7% between the two figures remains.

(4) Bottle neck of translation quality of each expression    In actual practice, weight of importance will differ according to which of 9 expressions is involved. As a third case study, it is attempted to identify which of the 9 expressions would cause failure in achieving the target accuracy rate. This results in the graph shown in Fig. 5. If one out of 9 expressions should fall below line shown in this figure, achievement of quality required of a practically applicable product would be impossible.

Fig. 5 Condition for realization of practical use of machine translation of newspaper articles.

(5) Conversion/generation accuracy improvement from improved individual expression translation rates    To examine the effects of improvements of various types of expression on the entire conversion/generation rate, changes in the accuracy rate pi of the types of expression under observation were assumed to be dpi, and changes in the conversion/generation accuracy rate PG were assumed to be dPG(i). Since the value of dPG(i) depends also on the value of pi(j/=i), the following three cases need to be considered.

a) At current technical levels: dPG(1)(i)
When in relation to all i, pi is in the neighborhood of the present level (Table 2).
b) At average target levels: dPG(2)(i)
When p1 = p2 = p9 = 0.96.
c) At maximum efficiency : dPG(3)(i)
When p1 = p2 = p9 = 1.0.

Assuming pi = 0.01(1%) and calculating dPG(i) for the above 3 cases results in Fig. 6. This figure reveals that the effects dPG(i) vary, depending on the type i, of expressions. However, in the foregoing 3 cases the effects are approximately equivalent.

dPG(2)(i) / dPG(1)(i) = 1.8 (approximately constant) (7)
dPG(3)(i)/ dPG(1)(i)= 2.2 (approximately constant)

Fig. 6 Relationship between accuracy rate of individual expression and conversion/generation.




4.3 Summary of Quality Model Evaluation Results

(1) Analytical phase technology    To achieve the practical translation quality, a word accuracy rate of over 99.8% for morphological analysis, and a dependence and supporting pair accuracy rate of over 99.4% for dependency analysis is necessary. Current technical levels for both morphological and dependency analyses have almost achieved these rates.

(2) Conversions/generation phase technology    To achieve the target rate of over 77.8% in a conversion/generation phase, an average translation accuracy rate of over 96% for individually observed types expression is necessary. Current values are at about 89%, so an average of about 7% improvement is required.

With expressions for which translation rates are in excess of 90%, it would be difficult to achieve an additional 7% improvement. For specially structured sentences and connections in compound sentences, further improvement in successful translation ratios is necessary. For consecutive noun compounds, current accuracy rates range in the neighborhood of 90%. The frequency of their appearance is high and therefore quality improvement is vital. Without such improvements, achievement of practical utility is impossible.




5. Summary

An evaluation method is proposed which estimate translation quality based on translation technologies and source text characteristics and applied to Japanese to English machine translation system ALT-J/E. Technological problems of the translations of lead texts in newspaper articles are evaluated.

Assuming 70% acceptability to be a practical level of quality, the number of words and bunsetsu indicate that the morphological and dependency analysis technologies would require accuracy rates per word and per bunsetsu as high as 99.8% and 99.4 %, respectively. Current technology has reached these levels. But the precision of translation for individual expressions is lower than expected values so acceptability rates for the entire text drop to between 40% and 50%. To achieve an acceptability rate of 70%, it is necessary to achieve an average 7% improvement in all 9 types of expressions mentioned in this study and thus achieve a individual translation ratio of 96%.

To upgrade the translation rates of these expressions, it will be necessary to establish techniques for analysis of the meanings of joshi, translation of expressions that combine noun clauses and compounded words, handling connections and embedded phrases, and verification of ellipsis and paratactical construction.




References

(1)
Nagao, Tsujii, Nakamura, Sakamoto, Toriumi and Sato : Outline of Science and Technological Agency Mechanical Translation Project, Information Processing, Vol.26, No.10, pp.1203-1213 (1985).

(2)
Nagao and Tsujii : World Selection and Process of Structural Conversion in Machine Translation, Information Processing, Vol.26, No.11, pp.1261-1270 (1985).

(3)
Uchida, et al. : Japanese/English Machine Translation System ATLAS/U, Information Processing Association, Natural Language Processing Research Society Data, No.299-3 (1982).

(4)
Muraki, K. : Knowledge Base and the Japanese English Machine Translation System Using Independent Intermediate Expressions for Words, Nikkei Electronics, 1984. 12/17, pp.195-220 (1984).

(5)
Sigurson, J. and Greatrex, R. : Machine Translation of On-line Searches in Japanese Databases, The Research Policy Institute Lund University, Sweden (1987).

(6)
Hung, X. : A Machine Translation System or Monolingual Users, Australian-Japan Joint Symposium on Natural Language Processing, pp.50-56 (1989).

(7)
ALPAC (Automatic Language Processing Advisory Committee) Report, National Research Council (1966).

(8)
Nagao, M. and Tsujii, J. : Evaluation of the J-E Translation Results in Mu-Project, Information and Processing Society of Japan, Natural Language Processing, 47-11, pp.79-88 (1985).

(9)
Ikehara, S., Miyazaki, M., Shirai, S. and Hayashi, Y. : Recognition in Language and Multi-level Translation Method, J. of Information Processing, Vol.28, No.21, pp.1269-1279 (Dec. 1987).

(10)
Ikehara, S., Miyazaki, M., Shirai, S. and Yokoo, A. : An Approach to Machine Translation Method Based on Constructive Process Theory, Review of the ECL, Vol.37, No.1, pp.39-44 (1989).

(11)
Saeki: Opinions from the Working Place --From the View-point of Mechanical Translation--, The J. of the Institute of Electronics, Information and Communication Engineers, Vol.71, No.11, pp.1221-1224 (1988).



Authors' Profile

Satoru Ikehara (Member)
Senior Research Engineer, Supervisor, the leader of Ikehara Research Group of the Knowledge System Laboratory in the NTT Network Information System Laboratories. Since joining the ECL system in 1969, he has developed a formal algebraic manipulation language, traffic theories and natural language processing systems. He received bachelor's degree, master's degree and Dr. degree from Osaka University in 1967, 1969 and 1983. He was awarded the dissertation prize in 1982 for his research on queuing network analysis from the Information Processing Society. He is a member of the Institute of Electronics, Information and Communication Engineers of Japan, Information Processing Society of Japan and Japan Association for Machine Translation.

Masahiro Miyazaki (Member)
Professor in Dept. of Information Engineering, Faculty of Engineering, Niigata University since 1989. He had been engaged in the ECL (Electronic Communication Laboratories) system of NTT from 1969 to 1989 and he has engaged in the research and development on the computer system DIPS-11, performance evaluation theories for computer system, Japanese text to speech systems and machine translation system. He is presently researching on natural language understanding/generation and machine translation systems. He received bachelor's degree and Dr. Eng. degree from Tokyo Institute of Technology in 1969 and 1986. He is a member of the Institute of Electronics, Information and Communication Engineers of Japan, Information Processing Society of Japan and Japan Association for Machine Translation.

Satoshi Shirai
Senior Research Engineer, in the NTT Network Information Systems Laboratories, Since joining the ECL system in 1980, he has developed Japanese analysis systems for natural language processing systems. He is presently developing a machine translation system. He received bachelor's degree and master's degree from Osaka University in 1978 and 1980. He is a member of the Institute of Electronics, Information and Communication Engineers of Japan, and the Information Processing Society of Japan.

Akio Yokoo (Member)
Senior Research Engineer of the Knowledge Systems Laboratory in the NTT Network Information Systems Laboratories. Since joining the ECL system in 1982, he has developed a frame representation language and a natural language processing systems. He is presently developing a machine translation system. He received a bachelor's degree in 1980 and master's degree in 1982 from the University of Electro-Communications. He is a member of the institute of Electronics, Information and Communication Engineers of Japan and the Information Processing Society of Japan.



Footnote
*1 Translation with pre-editing pose problems arising from the contents of pre-editing and evaluation becomes complicated. We shall therefore consider work without pre-editing. (Return)
*2 Dependency analysis determines relations between phrases of source text. (Return)
*3 The meanings of output can be understood and then the results can be post-edited without referring the source text. (Return)
*4 This means that translation output can be used for publishing without rewriting. (Return)
*5 With 70% as the passing grade for every sentence in an article, there should be among the unacceptable sentences some 10 to 20% whose meaning can be grasped a little. Then it is estimated that translation which cannot be understood at all would be limited to about 10%. In Saeki(11), a translation ratio of 85% is judged from experience as beig at a level that is practically usable. This ratio includes the portion of translation in which some dubious part remain and therefore it is judged not so different from the standards set forth in this dissertation. (Return)
*6 Test sentences are prepared by the following manner. Arbitrary 100 expression examples were picked up from each kinds of the expression group as shown in Table 2. Test sentences including a example expression are prepared for every 100 example expressions. But, test sentences should be short and easy to translate except the part of the expression to be tested. (Return)
*7 This experiment was conducted as follows. Three test groups of continuous 100 sentences are arbitrary chosen from 1 000 sentences used for the statistical analysis in Sec. 2. And translation results of these test groups are evaluated. (Return)